- Research
- Open access
- Published:
Acute change in resting energy expenditure and vital signs in response to white tea consumption in females: a pilot study
Nutrition & Metabolism volume 21, Article number: 88 (2024)
Abstract
Background
White tea, derived from the Camellia sinensis plant like other teas, uses tender buds and young leaves and undergoes minimal processing. This results in higher levels of antioxidants and bioactive substances, which may enhance thermogenesis more effectively than other teas. This first human study aimed to investigate the acute effects of white tea consumption on resting energy expenditure (REE) and some vital signs, including blood pressure (BP), heart rate (HR), and body temperature (BT).
Methods
Thirty-two healthy female volunteers with normal initial BP and whose caffeine intakes were < 300 mg/d were enrolled in the study. The caffeine and total phenolic content of white tea samples were determined by the high-performance liquid chromatography method and the Folin-Ciocalteu colorimetric method, respectively. After baseline measurements, participants consumed white tea containing 6 mg of caffeine per kilogram of lean body mass, and the white tea was prepared with bottled drinking water at 80 °C and brewed for 3 min. REE, BP, and BT were assessed at various intervals (baseline, 30 min, 120 min, and 180 min) post-consumption of the white tea.
Results
The results revealed a significant increase in REE by 8.7% at 180 min after the consumption. In particular, there was a substantial difference in both values between the intervals of 30 min to 180 min and baseline to 180 min for REE (p < 0.05). Maximal oxygen consumption and BT also increased significantly over time (p < 0.05) and the observed increment in BT suggests a thermogenic effect associated with white tea consumption. However, systolic BP, diastolic BP, and heart rate showed no significant difference.
Conclusions
These findings suggest white tea consumption may acutely enhance REE and maximal oxygen consumption, so the results are promising for body weight management. This study is the first human study in the literature about the effects of white tea on energy expenditure and vital signs.
Background
Tea is one of the most commonly consumed beverages worldwide, obtained from the leaves of the Camellia sinensis plant [1, 2]. Teas are categorized into six groups according to the degree of fermentation and processing method: green tea, white tea, yellow tea, oolong tea, black tea, and dark tea [3]. Although white tea is derived from the same plant (Camellia sinensis) as other types of tea, unlike green or black tea prepared from mature tea leaves, white tea is made from silvery buds and young tea leaves. However, the processes of white tea are shorter than other teas, and young buds and leaves are heat treated to inactivate polyphenol oxidase and then dried [4]. Tea contains many biologically active polyphenolic flavonoids, generally known as catechins, which make up about 30% of the dry weight of its leaves [5]. Catechins include epicatechin (EC), epicatechin gallate (ECG), epigallocatechin (EGC), and epigallocatechin-3-gallate (EGCG) and in particular EGCG is a potent antioxidant [6]. The polyphenols in tea can capture the oxidant superoxide thanks to their antioxidant activities and increase the activity of glutathione peroxidase, glutathione reductase, glutathione-S-transferase, catalase, and kinin reductase, which are detoxification enzymes in the small intestine, liver and lungs [7]. White tea has a higher antioxidant content than other types of tea since it undergoes less processing [8]. According to a study, in a variety of antioxidant tests, white tea had the highest radical scavenging activity, followed by green and then black tea. The order of the total phenolic content was observed in several varieties of tea: Green tea (118,37 mg/g) < black tea (101,8 mg/g) < white tea (133,30 mg/g) [9]. However, another study has shown that green tea possesses a higher antioxidant capacity and total phenolic content compared to white tea. In contrast, the antioxidant properties of black and dark teas are significantly reduced during extended fermentation, due to the action of polyphenol oxidases and microbes [10]. The antioxidant capabilities and total phenolic contents of teas can be influenced by various factors such as cultivar type, manufacturing process, leaf grade, planting conditions, harvesting time, and place of production. In terms of production, as the degree of fermentation rises, the antioxidant qualities of teas may diminish [11].
Besides their antioxidative properties, bioactive substances in tea affect thermogenesis. White tea also contains a variety of bioactive substances, including alkaloids, polyphenols, flavonoids, vitamins, minerals, amino acids, protein, polysaccharides, lignin, organic acids, and methylxanthines (caffeine, theophylline, and theobromine) [12]. Catechins can increase the concentration of free fatty acids in the blood to reduce oxidation activity and lactate levels in skeletal muscle. The increase in free fatty acids is parallel with the increase in the use of fat as an energy source [13]. The main effect mechanisms of tea in preventing obesity are stimulation of hepatic lipid metabolism [14], lipase inhibition, induction of thermogenesis [15], appetite regulation [16], and synergistic effects with caffeine [17]. Caffeine has a thermal effect, and this effect is mainly due to the inhibition of the phosphodiesterase enzyme. The phosphodiesterase enzyme regresses with intracellular cyclic amino monophosphate and hydrolyzes cyclic AMP to AMP. After caffeine consumption, the cyclic AMP concentration rises again and the central nervous system activity increases as protein kinase A is activated [18]. At the same time, the level of inactive hormone-sensitive lipase increases, and lipolysis is stimulated by [19]. Moreover, caffeine affects thermogenesis through the stimulation of substrates in the Cori cycle and the free fatty acid-triglyceride cycle, in addition to phosphodiesterase inhibition, and caffeine may cause increased gene expressions of various unbound proteins, which also affect thermogenesis. By accomplishing this by inhibiting phosphodiesterase and activating protein kinase A by cyclic AMP, increases in thermogenesis can occur [18, 19].
Additionally, tea can activate the sympathoadrenal system and increase energy expenditure and fat oxidation, thereby reducing body weight [18, 20]. The catechin-caffeine mixture has a positive effect on body weight loss and body weight maintenance [18] and the thermogenic effect of the catechin-caffeine mixture is greater than the equivalent amount of caffeine [21]. White tea, body weight management, and energy expenditure have not been studied in humans; nevertheless, several studies have found a relationship between white tea and body weight-related variables in both in vitro and in vivo animal studies [22,23,24,25,26]. White tea significantly decreased triglyceride incorporation during adipogenesis while having no negative effects on cell viability and increased adipocyte lipolytic activity [23]. The activation of pathways involved in energy expenditure, such as respiratory electron transport, oxidative phosphorylation, ATP metabolism, and other energy metabolic pathways, has been documented for white tea extract [22].
In this context, this study aims to determine the acute effect of white tea consumption on resting energy expenditure (REE), blood pressure (BP), and body temperature (BT).
Methods
Participants
The study included 32 female volunteers between the ages of 20 and 35, whose body mass index (BMI) ranged from 18.50 to 24.99 kg/m2. The study was carried out at the Faculty of Health Sciences at Gazi University’s Department of Nutrition and Dietetics.
Ethical considerations
The ethics committee at Gazi University approved this study on March 8, 2021 (approval number: 2021 − 821). Individuals were provided full explanations of the study’s objectives, and then, by the Declaration of Helsinki (World Medical Association), written informed consent was obtained from each participant.
Inclusion and exclusion criteria
The participants for this study were meticulously chosen based on specific criteria. People who abstained from smoking, and alcohol consumption and did not engage in high levels of physical activity were eligible. The study exclusively included female participants aged 20 to 35 with a normal BMI to standardize age, gender, and BMI conditions. On the other hand, individuals with any metabolic disorders or regular medication use were excluded from the study. To account for physiological variations during the menstrual cycle, the research was conducted specifically when the subjects were in the follicular phase. Furthermore, a prerequisite for participation in the study was adherence to a daily caffeine consumption threshold of less than 300 mg.
Determination of sociodemographic characteristics and caffeine intake levels of participants
The researchers used a face-to-face questionnaire to gather comprehensive data on the participants’ sociodemographic profiles, medical histories, and their habits regarding tea and coffee consumption.
Determination of total phenolic content
The total phenolic content (TPC) of the infused white tea used in the study was determined using the Folin-Ciocalteu colorimetric method. Extracts were dissolved in 80% ethanol and analyzed using a Folin–Ciocalteu reagent. Gallic acid was used as the standard phenolic compound. The coefficient of determination (R²) of the method was 0.9996 in the regression model. The amounts of TFC in the infusions were expressed as milligrams per liter (mg/L) of gallic acid equivalents (GAE) [27]. According to this, the bioactive components of the infused white tea used in the study are shown in Table 1.
Determination of caffeine content
The caffeine content of white tea samples was determined by the the reverse phase high-performance liquid chromatography (HPLC) method of Shrestha et al. (2016). HPLC analysis was performed using a Thermo Finnigan UV1000 detector, SpectraSYSTEM pump, and C18 analytical column (Phenomenex®). The mobile phase was prepared with a water: methanol ratio of 60:40. The flow rate was 1 mL/min, the column temperature was 40 °C, the injection volume was 100 µL, and the wavelength was 275 nm. The coefficient of determination (R²) of the method was 0.9998 in the regression model. All analysis was carried out at room temperature. The caffeine content of teas is expressed in % in dry matter [28]. According to this, the bioactive components of the white tea samples used in the study are shown in Table 1.
Anthropometric measurements and body composition analysis
At the initiation of the study, measurements of body weight were obtained using a digital scale with a sensitivity of 0.1 kg. Additionally, body composition analyses were conducted using the InBodyS10 body composition analyzer, which provided data on body fat mass (kg), body fat percentage (%), and skeletal muscle mass (kg). These measurements were conducted after a minimum 8-hour fasting period. Stadiometry was used to measure each person’s height in Frankfort’s position. BMI was determined using the measurements of body weight and height. BMI was calculated as follows: weight (kg) divided by height squared (m2) [29].
Resting energy expenditure (REE) measurement
At the commencement of the study, Resting Energy Expenditure (REE) measurements were conducted on the participants, following an empty stomach condition (fasting for a minimum of 8 h). Before the REE measurement, individuals were instructed to rest in a supine position for 15 min to achieve a stable state. The REE values were then determined using the COSMED Fitmate PRO indirect calorimeter. All measurements were taken in a quiet, thermo-neutral environment maintained at 22–24 °C to ensure accurate readings. During the REE measurement, the participants were required to remain still and avoid any physical activity. To maintain consistency and eliminate potential confounding factors, individuals were asked to follow their regular diet and refrain from engaging in intense exercise for at least one day before the REE measurement. After the initial REE measurement, each participant drank 1 cup of white tea containing 6 mg of caffeine per kilogram of lean body mass which adhered to the recommended daily caffeine intake guidelines, and the white tea was prepared with bottled drinking water at 80 °C and brewed for 3 min. Subsequently, additional REE measurements were taken at 30, 120, and 180 min after the intake of white tea. To minimize the impact of thermic effects and maintain a stable state during these repetitive measurements, the participants abstained from consuming food during the testing period.
Measurement of other metabolic parameters
During the REE measurement, the subjects’ heart rates (HR) systolic blood pressure (SBP), and diastolic blood pressure (DBP) (mmHg) were recorded. Additionally, the subjects’ body temperatures (BT) were measured using an infrared forehead digital thermometer.
Statistical analysis
SPSS (Statistical Package for Social Sciences) Version 22.0 (SPSS Inc.) was used for all statistical analyses. To evaluate the data, percentages and mean and standard deviation values were taken. The One-Way ANOVA and repeated measures ANOVA tests were used to statistically analyze the differences in the measurements of REE, oxygen consumption (VO2), SBP, DBP, heart rate (HR), and BT at the beginning 30, 120, and 180 min. The changes between specific time intervals have been evaluated by paired sample t-test. Wilcoxon signed-rank test was applied to compare baseline and at 180 min in resting energy expenditures (kcal/d) and other metabolic parameters. The level of significance for all of the analyses was set at p < 0.05.
Results
The majority of the participants are single (87.5%). Participants’ 37.5% are university graduates and 62.5% are high school graduates (data not shown). The general characteristics of the individuals are given in Table 2. The mean age of the individuals is 24.3 ± 4.54 years, and the mean BMI is 22.5 ± 1.95 kg/m2. The mean body fat percentage is 26.9 ± 6.82% and the mean fat-free mass is 43.6 ± 4.57 kg (Table 2).
Changes in resting energy expenditures and other metabolic parameters are given in Table 3. There is a significant change in resting energy expenditure (kcal/d), maximal oxygen consumption (VO2), and BT (p < 0.05). However, SBP, DBP, and HR changes were unremarkable (p > 0.05) (Table 3).
Moreover, significant differences in resting energy expenditure, maximal oxygen consumption, HR, and BT were observed when comparing specific time intervals. There was a significant change in both parameters between the time intervals of 30 min to 180 min and baseline to 180 min for resting energy expenditure. Additionally, significant differences were also observed between the time intervals of baseline to 120 min, baseline to 180 min, and 30 min to 180 min for oxygen consumption. A significant difference was found in HR and BT when comparing three specific time intervals: baseline to 30 min, baseline to 120 min, and baseline to 180 min (p < 0.05).
Following the consumption of white tea, the participants’ REE was evaluated at 30, 60, 120, and 180 min. The results showed that the baseline REE was 1367,25 kcal/d, it became 1409,43 kcal/d at 30 min, 1462,28 kcal/d at 120 min, and 1486,18 kcal/d at 180 min, had increased. Even though it was seen that people’s REE increased steadily after drinking white tea, there was a significant difference between baseline to 180 min and 30 min to 180 min (Fig. 1A). The baseline VO2 value (196.56 ml/min) became 202,44 ml/min at 30 min, 199,50 ml/min at 120 min, and 212,03 ml/min at 180 min after white tea consumption (p < 0.05; Fig. 1B). Additionally, the results of the repeated measures statistical test showed a significant increase over time in REE (Fig. 2). However, the change in BP levels of the individuals following white tea consumption was not statistically significant (p > 0.05). The evaluation of the SBP and DBP of the individuals over time showed (Fig. 1C and D) that baseline blood pressure (98.71;69.68 mm Hg) became 101.5;72.62 mm Hg at 30 min, 100,06; 68,93 mm Hg at 120 min, and 99,78; 68,15 mm Hg at 180 min respectively (p > 0.05). Similarly, there are no significant differences in HR after the consumption of white tea. As is shown in Fig. 1E baseline HR of 77,62 became 73,43 at 30 min, 71,78 at 120 min, and 73,21 at 180 min after white consumption (p > 0.05). The BT (oC) of the individuals at baseline, 30, 120, and 180 min following white tea consumption were 36.41, 36.50, 36.50, and 36.53, respectively (p < 0.05; Fig. 1F).
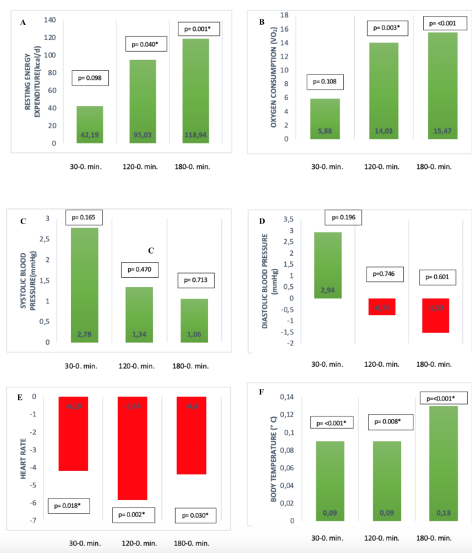
Differences between baseline and after intervention in REE and other metabolic parameters are given in Fig. 3. There is a significant increment in REE (kcal/d) (Fig. 3A; p < 0.05) and oxygen consumption (VO2) (Fig. 3B; p < 0.05) between the 0. − 120. minute and 0. − 180. minute. There isn’t any significant difference in SBP and DBP (mmHg) (Fig. 3C and D; p > 0.05). Heart rate significantly decreased by 30., 120. and 180. minutes compared with baseline (Fig. 3E; p < 0.05) and inversely BT (oC) has significantly increased (Fig. 3F; p < 0.05).
Discussion
Tea ranks as the world’s second most widely consumed beverage after water [30]. Its popularity can be attributed to the combination of health benefits and the pleasant sensory experience [31]. However, among various tea types, white tea is unique due to its minimal technological processing. In contrast to the more common green and black teas, white tea undergoes a simpler treatment. Its manufacturing primarily involves a prolonged withering and drying process. White tea is regarded as the least processed type of tea and has several powerful bioactivities, including anti-obesity, anti-cancer, anti-inflammatory, antioxidant, and anti-mutagenic properties [1, 32,33,34,35]. Furthermore, the high proportion of catechin content in white tea can affect REE by increasing oxidation activity in skeletal muscle and the concentration of free fatty acids in the blood to use as an energy source [36]. Though there has never been human research on white tea, body weight, and energy expenditure, there have been reports of a connection between white tea and body weight-related parameters from animal, in vitro, and in vivo studies [22, 23, 36]. To the best of our knowledge, this is the first human study in the literature about the effects of white tea on energy expenditure. However, green tea’s impact on REE and weight loss is more extensively studied in the literature compared to white tea [37, 38].
A systematic review has evaluated the effect of acute and chronic dietary supplementation with green tea catechins on REE and related factors [37]. This review elucidated the positive effects of green tea catechins(GTC) supplementation on fasting and postprandial respiratory quotient values. Although the results were hopeful, they did not allow for a definitive conclusion regarding the effects of acute and chronic GTC supplementation on REE, as some studies showed an improvement (two studies revealed an increase in RMR: one displayed an RMR increase of 43.82 kcal/day and another demonstrated an increase of 260.8 kcal/day, mainly when subjects were also engaged in a resistance training exercise) [37, 39]. In a 12-week randomized, controlled trial involving 60 obese Thai subjects, the study found that those who consumed green tea experienced significant weight loss, with differences in body weight and resting energy expenditure noted at the 8th and 12th weeks, specifically the REE was 372 kJ/day higher than at baseline. The results suggest that green tea can effectively reduce body weight in obese individuals by enhancing energy expenditure and promoting fat oxidation [38].
One of the striking findings in this study is that acute white tea intake had a significant impact, notably increasing REE by 8.7% at 180 min, specifically the REE was 118,93 kJ/day higher than at baseline. The increase in REE measurements was seen after 120 and 180 min after white tea consumption. The sympathetic nervous system (SNS) controls energy expenditure and lipolysis. Compounds that increase norepinephrine (NE), a key SNS modulator, increase energy expenditure and lipolysis. Green tea catechins (GTC) inhibits norepinephrine-degrading catechol O-methyltransferase (COMT) and, this extends sympathetically-released NE’s effects in the synaptic cleft. Teas include caffeine, which inhibits phosphodiesterase, an enzyme that breaks down cAMP in cells, affecting SNS activity. Due to NE, cAMP is produced. When consumed together, GTC and caffeine may synergistically alter the SNS, affecting energy expenditure and lipolysis [40]. In this instance, we believe that the combination of caffeine and catechins found in white tea may have contributed to the study’s results in terms of energy expenditure.
A research that compared the effects of oolong tea and green tea on REE revealed that after ingesting oolong tea and green tea, REE rose by 10% and 4% at 120 min, respectively. This finding is comparable to the findings of our study [41]. Furthermore, according to a study evaluating the effects of six different types of tea in mice, it has been shown white tea has the strongest anti-obesity properties, and it contains the highest concentration of catechin and its derivatives [26]. Similarly, another study evaluated the effect of different doses (respectively 0.15 mg, 0.19 mg, and 0.22 mg) of white tea on body weight maintenance for four weeks in rats. They have found that approximately 0.22 mg of white tea may have an essential role in weight loss by increasing REE [36]. The effects of white tea on REE have been shown to be comparable to those of previous research. This particular research, on the other hand, stands out since it is the first human study to investigate the acute effects of white tea consumption.
A study comparing the effects of oolong tea and green tea on REE found that after consuming oolong and green tea, REE increased by 10% and 4% at 120 min, respectively [41]. Furthermore, according to a study evaluating the effects of six different types of tea in mice, it has been shown white tea has the strongest anti-obesity properties and it contains the highest concentration of catechin and its derivatives [26]. Another study evaluated the effect of different doses (respectively 0.15 mg, 0.19 mg, 0.22 mg) of white tea on body weight maintenance for four weeks in the rats. They have found that approximately 0.22 mg of white tea may have an essential role in weight loss by increasing REE [36]. Moreover, a study found that white tea administration in NAFLD mice activated pathways associated with energy expenditure, such as respiratory electron transport, oxidative phosphorylation, ATP metabolic process, and other energy metabolic pathways [22]. An in vitro study incubating preadipocytes with white tea extract solution has shown that white tea extract solution significantly decreased triglyceride incorporation during adipogenesis and also stimulated lipolytic activity in adipocytes. Adipogenesis-related transcription factors, such as PPARγ, ADD1/SREBP-1c, C/EBPα, and C/EBPδ, were found to be downregulated in differentiating preadipocytes grown in the presence of a 0.5% white tea extract solution. Furthermore, there was a decrease in the transcription factor ADD1/SREBP-1c’s expression on the mRNA and protein levels [23]. These findings, which align with our study results, underscore the potential health benefits of white tea consumption, particularly in terms of energy expenditure. However, given that our current investigation focuses on the acute effects, there is a need for more human research to understand any long-term effects.
Genetic predisposition, aging, lifestyle factors, and dietary habits have all been linked to maintaining normotension [42]. Specific chemical compounds (several flavonoids, catechins, epicatechin, epigallocatechin, epicatechin gallate, epigallocatechin gallate, etc.) that derived from tea leaves have been proposed for the potential relationship of BP and tea [43]. The direct impact of tea on the vasculature, in particular the endothelium, has been proposed as a mechanism that could partially account for this relationship [44]. Dietary flavonoids are thought to increase the bioactivity of the endothelium-derived vasodilator nitric oxide (NO) [45] by increasing NO production or by reducing superoxide-mediated NO breakdown [46]. Theanine —which is one of the flavonoids that tea contains— has demonstrated the ability to induce a state of relaxation in human participants [47], and both green and black tea can lower blood pressure in rats [48]. Upon consumption, caffeine is rapidly absorbed from the gastrointestinal tract, and it reaches its highest levels in the bloodstream within 15–120 min [49]. Caffeine activates noradrenergic neurons in the autonomic nervous system, and it achieves this by competing with adenosine and suppressing phosphodiesterase. Caffeine prevents sympathetic nervous system postsynaptic cells from degrading cAMP. Therefore sympathetic stimulation may cause a rise in the blood pressure [50, 51].
In our study, SBP slightly increased and DBP slightly decreased to the baseline but these acute changes were statistically insignificant (p > 0.05). Similar to our study, in a study conducted with 50 young adult men and examining the acute effect of black tea consumption, SBP increased and diastolic blood pressure decreased statistically significantly (p < 0.05) [52]. In a study by Alexapoulos et al., SBP acutely increased with green tea consumption (p < 0.05) in healthy individuals but similar to our study DBP did not increase significantly (p > 0.05) [53]. As a result of a systematic review and meta-analysis by Liu et al., acute intake of tea had no impact on SBP or DBP. However, SBP and DBP have reduced after long-term tea consumption by 1.8 and 1.4 mmHg, respectively. Green tea significantly reduced SBP by 2.1 mmHg and DBP by 1.7 mmHg, whereas black tea demonstrated a decrease in SBP of 1.4 mmHg and a decrease in DBP of 1.1 mmHg. In addition, BP decreased in the individuals who consumed tea for longer than 12 weeks (SBP − 2.6 mmHg and DBP − 2.2 mmHg). They indicated that consuming tea over a prolonged period may significantly lower both SBP and DBP [54]. On the contrary, in normotensive men, Hodgson observed a rise in BP 30 min after consumption of green or black tea; this rise disappeared after 60 min, the rise in BP was larger than that brought on by a similar dose of caffeine alone, indicating that tea or tea polyphenols may contribute to acute BP increases [55].
According to a meta-analysis revealed that consuming green tea leads to a substantial reduction in both SBP and DBP. Moreover, subgroup analysis indicated that the beneficial impact of green tea polyphenols on BP was shown only in trials using a low dose of green tea polyphenol, with a prolonged intervention period, or by excluding the potential influence of caffeine [56]. A study examining the effects of tea types (black, dark, sweet, green, scented) on BP revealed that exhibited varying degrees of efficacy in lowering blood pressure. Overall, tea consumption was associated with a reduced risk of high BP by 10% (AOR: 0.90, 95%CI: 0.860.94). While, the blood pressure-lowering effects of scented tea provide the greatest effect at low frequency and in low amounts for a long time; black tea has blood pressure-lowering properties in long-term, high frequency, and moderate amounts [57].
A recent meta-analysis showed that caffeine has significantly increasing effects on BP in adults [58]. Generally regarded as the primary active component, caffeine is a purine alkaloid that seems to primarily affect biology by antagonistically affecting the A1 and A2 subtypes of the adenosine receptor [59]. Mostly, caffeine’s effects on autonomic nervous system activity are considered sympathomimetic. Therefore, acute elevations in BP may be brought on by caffeine [60]. However, the impact of tea consumption on BP is intricate, particularly when considering the complex and rich composition of tea. Moreover, initial BP is a factor that needs to be taken into account because, in individuals without hypertension or those whose BP was already under control by an anti-hypertensive therapy, it is difficult to show a tea intervention’s ability to affect BP.
Our research explores the acute impact of white tea consumption on heart rate, however, no statistically significant changes in heart rate were observed (p > 0.05). On the contrary, in a study in which participants (12 male, 11 female) 500 mL of unsweetened Yerba Mate tea revealed that over 90 min post-consumption significant decrease in HR only between baseline and 70. minute (p < 0.05). Furthermore, the same study showed that consuming cold tea (∼3 °C), but not hot tea (∼55 °C), caused an instantaneous and prolonged decrease in HR [61]. When tap water is consumed below a specific intra-abdominal temperature (at ∼3 °C and ∼22 °C), the heart’s vagal tone is elevated, leading to a decrease in HR. The esophagus, stomach, and duodenum contain thermosensitive afferent vagal nerve fibers, which may have been activated in response to the alterations [62]. In a study, a significant increase in HR was found 30 min and 60 min after consumption of green tea among males. Specifically, there was a slight increase in HR at the 30. minute, followed by a considerable increase at the 60. minute. Conversely, 30 min after consumption of the green tea, there was a slight decrease in HR among the females, and a significant decrease was noted during the following 60 min [63]. The fact that in our study the tea was brewed at 80 °C and the gender variations might have caused discrepancies in the study outcomes. Due to the restricted scope of research on this topic, further investigations are required.
One of the important findings in our study was the increase in BT, and BT increased significantly over time compared to the baseline (p < 0.05). Similarly, in a single-blinded, randomized study, 20 healthy, young volunteers consumed caffeine-containing coffee compared to caffeine-free coffee and the skin temperature increased 3 h after the consumption of caffeine-containing coffee compared to the control group [64]. Consumption of caffeine is linked to blood orexin levels and the autonomic nervous system’s fight-or-flight reaction [65]. Around the hypothalamic-pituitary-adrenal axis, thermoregulation extends from the central to the peripheral regions. The process involves the autonomic nerves. During this process, orexins can raise BT and stimulate thermogenic neurotransmission [66]. Nevertheless, as the current studies in the field are limited and have mostly focused on coffee, which contains a greater amount of caffeine compared to various teas, further studies are required for a clear conclusion.
Conclusions
Consequently, we found that consumption of the white tea acutely increased the REE and BT, but had no significant impact on the other two vital signs—blood pressure and heart rate. Due to these properties, it may be effective in body weight management, which is directly related to REE. There are some strengths and limitations to our study. To the best of our knowledge, this is the first human study to evaluate the effects of white tea consumption acutely on REE and other metabolic parameters. Nonetheless, the determination of the caffeine and total phenolic content in the white tea that was consumed by the individuals made a significant contribution to the study. However, our study involved only young female participants. Therefore, the results may not be attributed to males or other age groups. The other is that the effect of white tea on REE and other metabolic parameters could only be evaluated acutely. Despite this limitation, even acute intervention with white tea leads to an increase in REE. Therefore, it has been suggested that it could be an effective tool for weight management. Future studies examining the long-term effects of white tea on these parameters are needed to confirm and extend these findings.
Data availability
No datasets were generated or analysed during the current study.
References
Dai W, Xie D, Lu M, Li P, Lv H, Yang C, et al. Characterization of white tea metabolome: comparison against green and black tea by a nontargeted metabolomics approach. Food Res Int. 2017;96:40–5.
Guo X, Song C, Ho C-T, Wan X. Contribution of L-theanine to the formation of 2, 5-dimethylpyrazine, a key roasted peanutty flavor in Oolong tea during manufacturing processes. Food Chem. 2018;263:18–28.
Yang Z, Baldermann S, Watanabe N. Recent studies of the volatile compounds in tea. Food Res Int. 2013;53(2):585–99.
Mao JT. White tea: the plants, processing, manufacturing, and potential health benefits. Tea in health and disease prevention. Elsevier; 2013. pp. 33–40.
Ahmad N, Mukhtar H. Green tea polyphenols and cancer: biologic mechanisms and practical implications. Nutr Rev. 1999;57(3):78–83.
Feng Q, Kumagai T, Torii Y, Nakamura Y, Osawa T, Uchida K. Anticarcinogenic antioxidants as inhibitors against intracellular oxidative stress. Free Radic Res. 2001;35(6):779–88.
Sharangi A. Medicinal and therapeutic potentialities of tea (Camellia sinensis L.)–A review. Food Res Int. 2009;42(5–6):529–35.
Hilal Y, Engelhardt U. Characterisation of white tea–comparison to green and black tea. J für Verbraucherschutz Und Lebensmittelsicherheit. 2007;2:414–21.
Kaur A, Farooq S, Sehgal A. A comparative study of antioxidant potential and phenolic content in white (silver needle), green and black tea. Curr Nutr Food Sci. 2019;15(4):415–20.
Zhao C-N, Tang G-Y, Cao S-Y, Xu X-Y, Gan R-Y, Liu Q, et al. Phenolic profiles and antioxidant activities of 30 tea infusions from green, black, oolong, white, yellow and dark teas. Antioxidants. 2019;8(7):215.
Zhang C, Suen CL-C, Yang C, Quek SY. Antioxidant capacity and major polyphenol composition of teas as affected by geographical location, plantation elevation and leaf grade. Food Chem. 2018;244:109–19.
Seeram NP, Henning SM, Niu Y, Lee R, Scheuller HS, Heber D. Catechin and caffeine content of green tea dietary supplements and correlation with antioxidant capacity. J Agric Food Chem. 2006;54(5):1599–603.
Murase T, Haramizu S, Shimotoyodome A, Tokimitsu I, Hase T. Green tea extract improves running endurance in mice by stimulating lipid utilization during exercise. Am J Physiology-Regulatory Integr Comp Physiol. 2006;290(6):R1550–6.
Murase T, Nagasawa A, Suzuki J, Hase T, Tokimitsu I. Beneficial effects of tea catechins on diet-induced obesity: stimulation of lipid catabolism in the liver. Int J Obes. 2002;26(11):1459–64.
Chantre P, Lairon D. Recent findings of green tea extract AR25 (Exolise) and its activity for the treatment of obesity. Phytomedicine. 2002;9(1):3–8.
Liao S. The medicinal action of androgens and green tea epigallocatechin gallate. Hong Kong Med J. 2001;7(4):369.
Kovacs EM, Lejeune MP, Nijs I, Westerterp-Plantenga MS. Effects of green tea on weight maintenance after body-weight loss. Br J Nutr. 2004;91(3):431–7.
Diepvens K, Westerterp KR, Westerterp-Plantenga MS. Obesity and thermogenesis related to the consumption of caffeine, ephedrine, capsaicin, and green tea. American journal of physiology-Regulatory, integrative and comparative physiology; 2007.
Acheson KJ, Gremaud G, Meirim I, Montigon F, Krebs Y, Fay LB, et al. Metabolic effects of caffeine in humans: lipid oxidation or futile cycling? Am J Clin Nutr. 2004;79(1):40–6.
Westerterp-Plantenga M, Diepvens K, Joosen AM, Bérubé-Parent S, Tremblay A. Metabolic effects of spices, teas, and caffeine. Physiol Behav. 2006;89(1):85–91.
Dulloo A, Seydoux J, Girardier L, Chantre P, Vandermander J. Green tea and thermogenesis: interactions between catechin-polyphenols, caffeine and sympathetic activity. Int J Obes. 2000;24(2):252–8.
Li N, Zhou X, Wang J, Chen J, Lu Y, Sun Y, et al. White tea alleviates non-alcoholic fatty liver disease by regulating energy expenditure and lipid metabolism. Gene. 2022;833:146553.
Söhle J, Knott A, Holtzmann U, Siegner R, Grönniger E, Schepky A, et al. White Tea extract induces lipolytic activity and inhibits adipogenesis in human subcutaneous (pre)-adipocytes. Nutr Metabolism. 2009;6(1):1–10.
Teixeira LG, Lages PC, Jascolka TL, Aguilar EC, Soares FLP, Pereira SS, et al. White tea (Camellia sinensis) extract reduces oxidative stress and triacylglycerols in obese mice. Food Sci Technol. 2012;32:733–41.
Sun L, Xu H, Ye J, Gaikwad NW. Comparative effect of black, green, oolong, and white tea intake on weight gain and bile acid metabolism. Nutrition. 2019;65:208–15.
Liu C, Guo Y, Sun L, Lai X, Li Q, Zhang W, et al. Six types of tea reduce high-fat-diet-induced fat accumulation in mice by increasing lipid metabolism and suppressing inflammation. Food Funct. 2019;10(4):2061–74.
Singleton VL, Orthofer R, Lamuela-Raventós RM. [14] analysis of total phenols and other oxidation substrates and antioxidants by means of folin-ciocalteu reagent. Methods in enzymology. Volume 299. Elsevier; 1999. pp. 152–78.
Pokhrel P, Shrestha S, Rijal SK, Rai KP. A simple HPLC Method for the determination of Caffeine Content in Tea and Coffee. J Food Sci Technol Nepal. 2016;9:74–8.
Organization WH. Obesity: preventing and managing the global epidemic: report of a WHO consultation. 2000.
Grigg D. The worlds of tea and coffee: patterns of consumption. GeoJournal. 2002;57:283–94.
Ho C-T, Zheng X, Li S. Tea aroma formation. Food Sci Hum Wellness. 2015;4(1):9–27.
Zhao Y, Chen P, Lin L, Harnly J, Yu LL, Li Z. Tentative identification, quantitation, and principal component analysis of green pu-erh, green, and white teas using UPLC/DAD/MS. Food Chem. 2011;126(3):1269–77.
Zhao L, La VD, Grenier D. Antibacterial, antiadherence, antiprotease, and anti-inflammatory activities of various tea extracts: potential benefits for periodontal diseases. J Med Food. 2013;16(5):428–36.
Pereira V, Knor F, Vellosa J, Beltrame F. Determination of phenolic compounds and antioxidant activity of green, black and white teas of Camellia sinensis (L.) Kuntze, Theaceae. Revista Brasileira De Plantas Medicinais. 2014;16:490–8.
Liu L, Liu B, Li J, Zhen S, Ye Z, Cheng M, et al. Responses of different cancer cells to white tea aqueous extract. J Food Sci. 2018;83(10):2593–601.
Aditya Rifqi M, Setyaningtyas SW, Rachmah Q. White tea drink (Camellia sinensis) improves endurance and body weight maintenance of rats. J Health Res. 2022;36(1):46–55.
Rondanelli M, Riva A, Petrangolini G, Allegrini P, Perna S, Faliva MA, et al. Effect of acute and chronic dietary supplementation with green tea catechins on resting metabolic rate, energy expenditure and respiratory quotient: a systematic review. Nutrients. 2021;13(2):644.
Auvichayapat P, Prapochanung M, Tunkamnerdthai O, Sripanidkulchai B-o, Auvichayapat N, Thinkhamrop B, et al. Effectiveness of green tea on weight reduction in obese Thais: a randomized, controlled trial. Physiol Behav. 2008;93(3):486–91.
Cardoso GA, Salgado JM, Cesar MC, Donado-Pestana CM. The effects of green tea consumption and resistance training on body composition and resting metabolic rate in overweight or obese women. J Med Food. 2013;16(2):120–7.
Rains TM, Agarwal S, Maki KC. Antiobesity effects of green tea catechins: a mechanistic review. J Nutr Biochem. 2011;22(1):1–7.
Komatsu T, Nakamori M, Komatsu K, Hosoda K, Okamura M, Toyama K, et al. Oolong tea increases energy metabolism in Japanese females. J Med Invest. 2003;50(3/4):170–5.
Burnier M, Egan BM. Adherence in hypertension: a review of prevalence, risk factors, impact, and management. Circul Res. 2019;124(7):1124–40.
Widlansky ME, Hamburg NM, Anter E, Holbrook M, Kahn DF, Elliott JG, et al. Acute EGCG supplementation reverses endothelial dysfunction in patients with coronary artery disease. J Am Coll Nutr. 2007;26(2):95–102.
Vita JA. Tea consumption and cardiovascular disease: effects on endothelial function. J Nutr. 2003;133(10):S3293–7.
Grassi D, Aggio A, Onori L, Croce G, Tiberti S, Ferri C, et al. Tea, flavonoids, and nitric oxide-mediated vascular reactivity. J Nutr. 2008;138(8):S1554–60.
Fitzpatrick DF, Hirschfield SL, Ricci T, Jantzen P, Coffey RG. Endothelium-dependent vasorelaxation caused by various plant extracts. J Cardiovasc Pharmacol. 1995;26(1):90–5.
Juneja LR, Chu D-C, Okubo T, Nagato Y, Yokogoshi H. L-theanine—a unique amino acid of green tea and its relaxation effect in humans. Trends Food Sci Technol. 1999;10(6–7):199–204.
Negishi H, Xu J-W, Ikeda K, Njelekela M, Nara Y, Yamori Y. Black and green tea polyphenols attenuate blood pressure increases in stroke-prone spontaneously hypertensive rats. J Nutr. 2004;134(1):38–42.
Research IoMUCoMN. Pharmacology of Caffeine. Caffeine for the sustainment of Mental Task Performance: formulations for Military Operations. Washington (DC) (US): National Academies Press (US); 2001.
Nehlig A, Daval J-L, Debry G. Caffeine and the central nervous system: mechanisms of action, biochemical, metabolic and psychostimulant effects. Brain Res Rev. 1992;17(2):139–70.
Fredholm BB. Adenosine, adenosine receptors and the actions of caffeine. Pharmacol Toxicol. 1995;76(2):93–101.
Syce DV. A Cup of Black Tea does not modify Heart Rate Variability. J Caffeine Res. 2015;5(1):55–9.
Alexopoulos N, Vlachopoulos C, Aznaouridis K, Baou K, Vasiliadou C, Pietri P, et al. The acute effect of green tea consumption on endothelial function in healthy individuals. Eur J Cardiovasc Prev Rehabilitation. 2008;15(3):300–5.
Liu G, Mi X-N, Zheng X-X, Xu Y-L, Lu J, Huang X-H. Effects of tea intake on blood pressure: a meta-analysis of randomised controlled trials. Br J Nutr. 2014;112(7):1043–54.
Hodgson JM, Woodman RJ, Puddey IB, Mulder T, Fuchs D, Croft KD. Short-term effects of polyphenol-rich black tea on blood pressure in men and women. Food Funct. 2013;4(1):111–5.
Peng X, Zhou R, Wang B, Yu X, Yang X, Liu K, et al. Effect of green tea consumption on blood pressure: a meta-analysis of 13 randomized controlled trials. Sci Rep. 2014;4(1):6251.
Zhao Y, Tang C, Tang W, Zhang X, Jiang X, Duoji Z, et al. The association between tea consumption and blood pressure in the adult population in Southwest China. BMC Public Health. 2023;23(1):1–13.
Abbas-Hashemi SA, Hosseininasab D, Rastgoo S, Shiraseb F, Asbaghi O. The effects of caffeine supplementation on blood pressure in adults: a systematic review and dose-response meta-analysis. Clin Nutr ESPEN. 2023.
Higdon JV, Frei B. Coffee and health: a review of recent human research. Crit Rev Food Sci Nutr. 2006;46(2):101–23.
Myers MG. Effects of caffeine on blood pressure. Arch Intern Med. 1988;148(5):1189–93.
Maufrais C, Sarafian D, Dulloo A, Montani J-P. Cardiovascular and metabolic responses to the ingestion of caffeinated herbal tea: drink it hot or cold? Front Physiol. 2018;9:315.
Gupta B, Nier K, Hensel H. Cold-sensitive afferents from the abdomen. Pflügers Archiv. 1979;380:203–4.
Ullah N, Khan MA, Asif AH, Shah AA, Anwar S, Wahid H, et al. Effect of Green tea on heart rate of male and female. Asian J Med Sci. 2011;3(4):180–2.
Koot P, Deurenberg P. Comparison of changes in energy expenditure and body temperatures after caffeine consumption. Annals Nutr Metabolism. 1995;39(3):135–42.
Johnson PL, Molosh A, Fitz SD, Truitt WA, Shekhar A. Orexin, stress, and anxiety/panic states. Prog Brain Res. 2012;198:133–61.
Madden CJ, Tupone D, Morrison SF. Orexin modulates brown adipose tissue thermogenesis. Biomol Concepts. 2012;3(4):381–6.
Acknowledgements
We want to express our sincere thanks to the participants, and the members of the study, development, and management teams of this project.
Funding
No fund was received for this work.
Author information
Authors and Affiliations
Contributions
N.A.T., D.A., N.E.G., and Ş.A. designed the study. N.E.G. and Ş.A. collected the original data and prepared the manuscript. N.A.T., D.A., N.E.G., and Ş.A. analyzed the data. N.A.T. and D.A. assisted in the interpretation of the results and writing the manuscript. All authors contributed to the article and approved the submitted manuscript.
Corresponding author
Ethics declarations
Ethics approval and consent to participate
The ethics committee at Gazi University approved this study on March 8, 2021 (approval number: 2021 − 821). Individuals were provided full explanations of the study’s objectives, and then, by the Declaration of Helsinki (World Medical Association), written informed consent was obtained from each participant.
Consent for publication
Not applicable.
Competing interests
The authors declare no competing interests.
Additional information
Publisher’s note
Springer Nature remains neutral with regard to jurisdictional claims in published maps and institutional affiliations.
Rights and permissions
Open Access This article is licensed under a Creative Commons Attribution-NonCommercial-NoDerivatives 4.0 International License, which permits any non-commercial use, sharing, distribution and reproduction in any medium or format, as long as you give appropriate credit to the original author(s) and the source, provide a link to the Creative Commons licence, and indicate if you modified the licensed material. You do not have permission under this licence to share adapted material derived from this article or parts of it. The images or other third party material in this article are included in the article’s Creative Commons licence, unless indicated otherwise in a credit line to the material. If material is not included in the article’s Creative Commons licence and your intended use is not permitted by statutory regulation or exceeds the permitted use, you will need to obtain permission directly from the copyright holder. To view a copy of this licence, visit http://creativecommons.org/licenses/by-nc-nd/4.0/.
About this article
Cite this article
Tek, N.A., Ayten, Ş., Gövez, N.E. et al. Acute change in resting energy expenditure and vital signs in response to white tea consumption in females: a pilot study. Nutr Metab (Lond) 21, 88 (2024). https://doi.org/10.1186/s12986-024-00867-z
Received:
Accepted:
Published:
DOI: https://doi.org/10.1186/s12986-024-00867-z


